Đề Thi Thử Môn Toán THPT 2025 - Đề Số 06 - VuaDeThi.com

Trong mỗi ý a), b), c), d) ở mỗi câu, thí sinh chọn đúng hoặc sai.

Câu 3. Trong không gian OxyzO x y z, cho mặt phẳng (P):xz=0(P): x-z=0, đường thẳng d:{x=1+2ty=tz=td:\left\{\begin{array}{l}x=1+2 t \\ y=t \\ z=t\end{array}\right. và hai điểm A(1;2;1),B(2;1;4)A(1 ; 2 ; 1), B(2 ; 1 ; 4).

a) Điểm AA thuộc mặt phẳng (P)(P).

b) Hoành độ giao điểm của đường thẳng dd và mặt phẳng (P)(P) bằng 1 .

c) Điểm I(a;b;c)d,a>0I(a ; b ; c) \in d, a>0. Mặt cầu (S)(S) có tâm II bán kính R=22R=2 \sqrt{2} tiếp xúc với (P)(P). Khi đó a+b+c=9a+b+c=9.

d) Gọi Δ\Delta là đường thẳng vuông góc với mặt phẳng (P)(P) sao cho khoảng cách từ AA đến Δ\Delta bằng 1. Khi khoảng cách từ BB đến Δ\Delta đạt giá trị nhỏ nhất thì Δ\Delta đi qua điểm M(53;53;53)M\left(\frac{5}{3} ; \frac{5}{3} ; \frac{5}{3}\right).

xem đáp án bên dưới

Đáp án

a) Đúng ; b) Sai ; c) Sai ; d) Đúng

a) Đúng. Thay tọa độ điểm AA vào phương trình mặt phẳng (P)(P) ta có: 11=01-1=0 (luôn đúng) A(P)\Rightarrow A \in(P).

b) Sai. Tọa độ giao điểm của dd(P)(P) thỏa mãn hệ: {x=1+2ty=tz=txz=0{x=1y=1z=1t=1\left\{\begin{array}{l}x=1+2 t \\ y=t \\ z=t \\ x-z=0\end{array} \Leftrightarrow\left\{\begin{array}{l}x=-1 \\ y=-1 \\ z=-1 \\ t=-1\end{array}\right.\right.. Vậy hoành độ giao điểm của dd(P)(P) bằng -1 .

c) Sai. Điểm I(a;b;c)d{a=2t+1b=tc=tI(a ; b ; c) \in d \Rightarrow\left\{\begin{array}{l}a=2 t+1 \\ b=t \\ c=t\end{array}\right.. Mặt cầu (S)(S) có tâm II bán kính R=22R=2 \sqrt{2} tiếp xúc với (P)(P) nên

d(I,(P))=R1+t2=22[t=3(t/m)t=5(l). Khi đoˊ a+b+c=1+4t=13d(I,(P))=R \Leftrightarrow \frac{|1+t|}{\sqrt{2}}=2 \sqrt{2} \Leftrightarrow\left[\begin{array}{l} t=3(t / m) \\ t=-5(l) \end{array} \text {. Khi đó } a+b+c=1+4 t=13\right. \text {. }

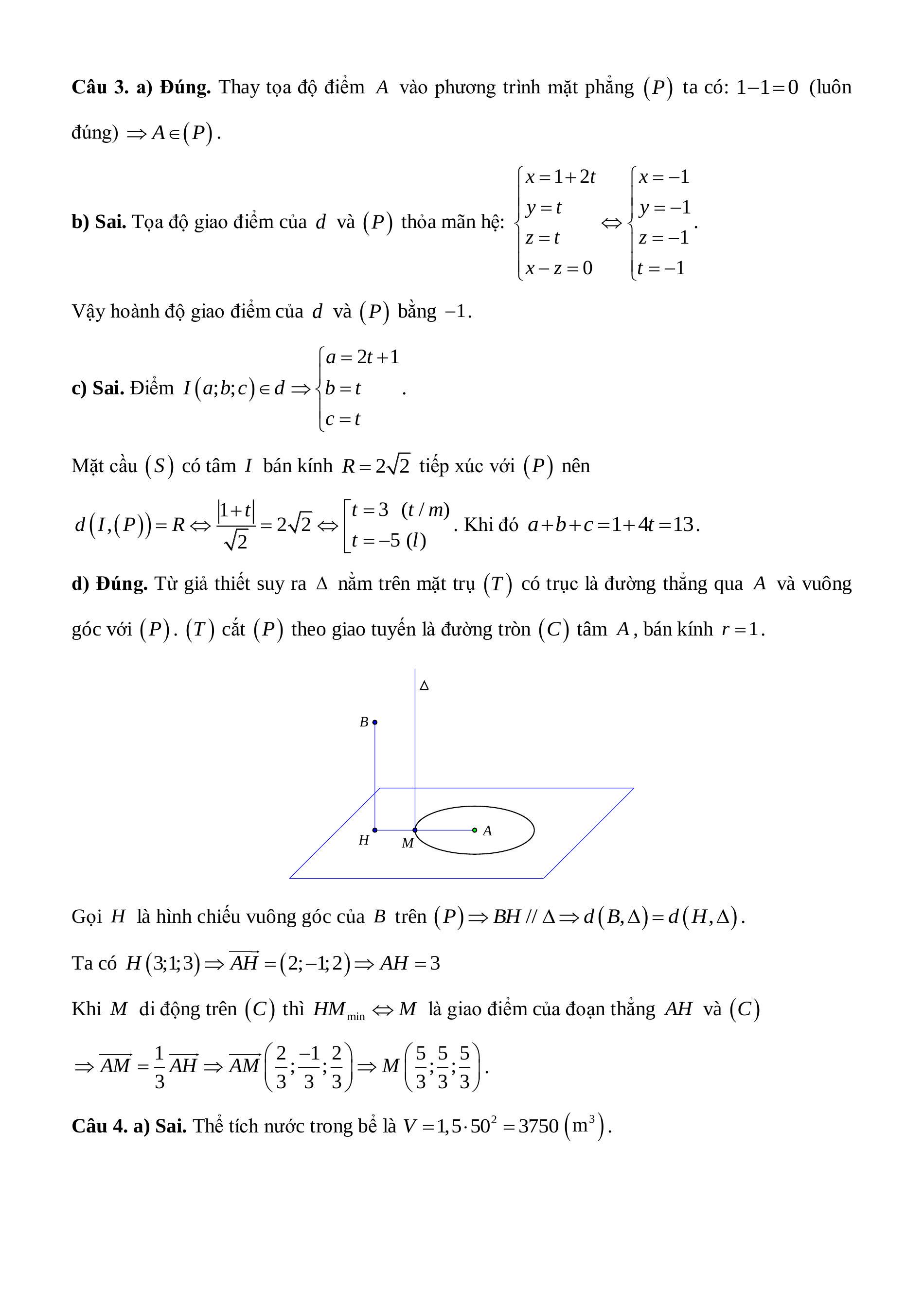
d) Đúng. Từ giả thiết suy ra Δ\Delta nằm trên mặt trụ (T)(T) có trục là đường thẳng qua AA và vuông góc với (P).(T)(P) .(T) cắt (P)(P) theo giao tuyến là đường tròn (C)(C) tâm AA, bán kính r=1r=1. Gọi HH là hình chiếu vuông góc của BB trên (P)BH//Δd(B,Δ)=d(H,Δ)(P) \Rightarrow B H / / \Delta \Rightarrow d(B, \Delta)=d(H, \Delta). Ta có H(3;1;3)AH=(2;1;2)AH=3H(3 ; 1 ; 3) \Rightarrow \overrightarrow{A H}=(2 ;-1 ; 2) \Rightarrow A H=3 Khi MM di động trên (C)(C) thì HMminMH M_{\min } \Leftrightarrow M là giao điểm của đoạn thẳng AHA H(C)(C) AM=13AHAM(23;13;23)M(53;53;53)\Rightarrow \overrightarrow{A M}=\frac{1}{3} \overrightarrow{A H} \Rightarrow \overrightarrow{A M}\left(\frac{2}{3} ; \frac{-1}{3} ; \frac{2}{3}\right) \Rightarrow M\left(\frac{5}{3} ; \frac{5}{3} ; \frac{5}{3}\right).