Đề Thi Thử Môn Toán THPT 2025 - Đề Số 08 - VuaDeThi.com

Trắc nghiệm trả lời ngắn

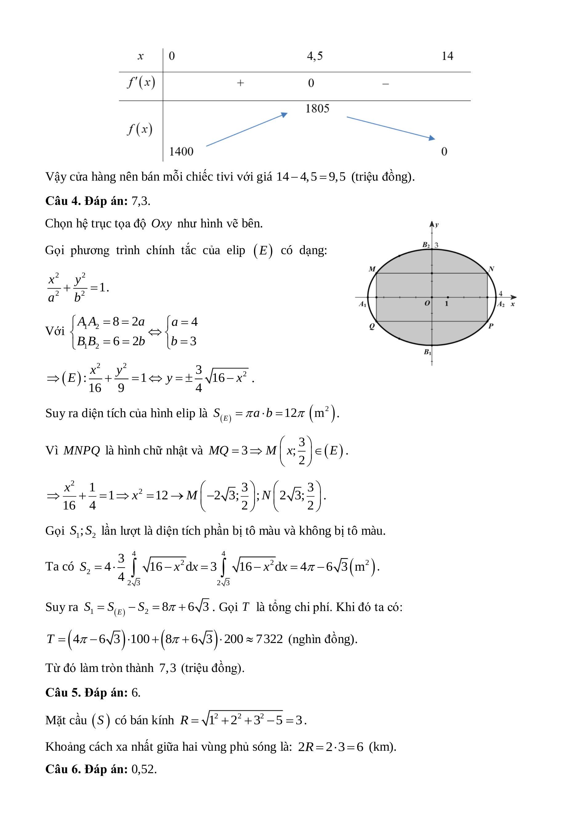
Câu 4. Một biển quảng cáo có dạng hình elip với bốn đỉnh A1,A2,B1,B2A_{1}, A_{2}, B_{1}, B_{2} như hình vẽ bên dưới. Biết chi phí để sơn phần tô đậm là 200000 đồng /m2/ \mathrm{m}^{2} và phần còn lại 100000 đồng /m2/ \mathrm{m}^{2}. Biết A1A2=8 m,B1B2=6 mA_{1} A_{2}=8 \mathrm{~m}, B_{1} B_{2}=6 \mathrm{~m} và tứ giác MNPQM N P Q là hình chữ nhật có MQ=3 mM Q=3 \mathrm{~m}. Hỏi số tiền để sơn theo cách trên (làm tròn đến hàng phần chục, đơn vị: triệu đồng) bằng bao nhiêu?

Hình minh họa

xem đáp án bên dưới

Đáp án

7,3

Đáp án: 7,3. Chọn hệ trục tọa độ Oxy như hình vẽ bên. Gọi phương trình chính tắc của elip (E)(E) có dạng: x2a2+y2b2=1\frac{x^{2}}{a^{2}}+\frac{y^{2}}{b^{2}}=1. Với {A1A2=8=2aB1B2=6=2b{a=4b=3\left\{\begin{array}{l}A_{1} A_{2}=8=2 a \\ B_{1} B_{2}=6=2 b\end{array} \Leftrightarrow\left\{\begin{array}{l}a=4 \\ b=3\end{array}\right.\right. (E):x216+y29=1y=±3416x2\Rightarrow(E): \frac{x^{2}}{16}+\frac{y^{2}}{9}=1 \Leftrightarrow y= \pm \frac{3}{4} \sqrt{16-x^{2}}. Suy ra diện tích của hình elip là S(E)=πab=12π( m2)S_{(E)}=\pi a \cdot b=12 \pi\left(\mathrm{~m}^{2}\right). Vì MNPQM N P Q là hình chữ nhật và MQ=3M(x;32)(E)M Q=3 \Rightarrow M\left(x ; \frac{3}{2}\right) \in(E). x216+14=1x2=12M(23;32);N(23;32)\Rightarrow \frac{x^{2}}{16}+\frac{1}{4}=1 \Rightarrow x^{2}=12 \rightarrow M\left(-2 \sqrt{3} ; \frac{3}{2}\right) ; N\left(2 \sqrt{3} ; \frac{3}{2}\right). Gọi S1;S2S_{1} ; S_{2} lần lượt là diện tích phần bị tô màu và không bị tô màu. Ta có S2=43423416x2 dx=323416x2 dx=4π63( m2)S_{2}=4 \cdot \frac{3}{4} \int_{2 \sqrt{3}}^{4} \sqrt{16-x^{2}} \mathrm{~d} x=3 \int_{2 \sqrt{3}}^{4} \sqrt{16-x^{2}} \mathrm{~d} x=4 \pi-6 \sqrt{3}\left(\mathrm{~m}^{2}\right). Suy ra S1=S(E)S2=8π+63S_{1}=S_{(E)}-S_{2}=8 \pi+6 \sqrt{3}. Gọi TT là tổng chi phí. Khi đó ta có: T=(4π63)100+(8π+63)2007322T=(4 \pi-6 \sqrt{3}) \cdot 100+(8 \pi+6 \sqrt{3}) \cdot 200 \approx 7322 (nghìn đồng). Từ đó làm tròn thành 7,3 (triệu đồng).