PHẦN I. Câu trắc nghiệm nhiều phương án lựa chọn. Thí sinh trả lời từ câu 1 đến câu 12 .
Mỗi câu hỏi thí sinh chỉ chọn một phương án.
Câu 1. Cho hàm số có đồ thị như hình dưới đây.
Hàm số đã cho đồng biến trên khoảng nào trong các khoảng sau đây?

A. .
B. .
C. .
D. .
Câu 2. Cho đồ thị hàm số có đồ thị như hình dưới đây.
Đồ thị hàm số có đường tiệm cận ngang là đường thẳng:

A. .
B. .
C. .
D. .
Câu 4. Trong mặt phẳng với hệ tọa độ , vectơ nào sau đây là vectơ pháp tuyến của mặt phẳng ?
A. .
B. .
C. .
D. .
Câu 5. Trong không gian với hệ tọa độ , phương trình nào sau đây là phương trình tham số của đường thẳng?
A. .
B. .
C. .
D. .
Câu 6. Trong không gian với hệ tọa độ , cho mặt cầu
tâm của mặt cầu có tọa độ là
A. .
B. .
C. .
D. .
Câu 8. Xét mẫu số liệu ghép nhóm có phương sai bằng 9 . Độ lệch chuẩn của mẫu số liệu đó bằng:
A. 3 .
B. 9 .
C. 18 .
D. 81 .
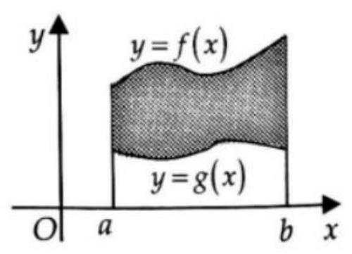
Câu 10. Cho các hàm số liên tục trên đoạn và có đồ thị như hình dưới đây.
Khi đó, diện tích hình phẳng giới hạn bởi đồ thị các hàm số và hai đường thẳng là:

A. .
B. .
C. .
D. .
Câu 11. Cho hàm số liên tục trên và có một nguyên hàm là . Biết rằng . Giá trị của biểu thức bằng:
A. 13.
B. -7 .
C. 7 .
D. 30 .
Câu 12. Trong không gian với hệ tọa độ , khoảng cách từ điểm đến mặt phẳng bằng:
A. 6 .
B. -6 .
C. .
D. .
PHẦN II. Câu trắc nghiệm đúng sai. Thí sinh trả lời từ câu 1 đến câu 4 .
Trong mỗi ý a), b), c), d) ở mỗi câu, thí sinh chọn đúng hoặc sai.
Câu 1. Trong không gian với hệ tọa độ , cho đường thẳng ( là tham số) và mặt phẳng .
a) Vectơ có tọa độ là một vectơ chỉ phương của .
b) Vectơ có tọa độ là một vectơ pháp tuyến của .
c) Côsin của góc giữa hai vectơ và bằng .
d) Góc giữa đường thẳng và mặt phẳng (làm tròn kết quả đến hàng đơn vị của độ) bằng .
Câu 2. Cho hàm số .
a) Đồ thị hàm số đã cho có tiệm cận đứng là đường thẳng .
b) Đồ thị hàm số có tiệm cận xiên là đường thẳng .
c) Đạo hàm của hàm số đã cho là .
d) Hàm số đã cho có 3 cực trị.
Câu 3. Trong không gian với hệ tọa độ , cho bốn vệ tinh , . Điểm trong không gian, biết khoảng cách từ các vệ tinh đến điểm lần lượt là .
a) .
b) .
c) .
d) .
Câu 4. Một xe ô tô đang chạy với tốc độ thì người lái xe bất ngờ phát hiện chướng ngại vật trên đường cách đó 50 m . Người lái xe phản ứng một giây, sau đó đạp phanh khẩn cấp. Kể từ thời điểm này, ô tô chuyển động chậm dần đều với tốc độ , trong đó là thời gian tính bằng giây kể từ lúc đạp phanh. Gọi là quãng đường xe ô tô đi được trong (giây) kể từ lúc đạp phanh.
a) Quãng đường mà xe ô tô đi được trong thời gian (giây) là một nguyên hàm của hàm số .
b) .
c) Thời gian kể từ lúc đạp phanh đến khi xe ô tô dừng hẳn là 20 giây.
d) Xe ô tô đó không va vào chướng ngại vật ở trên đường.
PHẦN III. Câu trắc nghiệm trả lời ngắn. Thí sinh trả lời từ câu 1 đến câu 6 .
Câu 1. Một chiếc bát thuỷ tinh có bề dày của phần xung quanh là một khối tròn xoay, khi xoay hình phẳng quanh một đường thẳng bất kì nào đó mà khi gắn hệ trục tọa độ (đơn vị trên trục là decimét) vào hình phẳng tại một vị trí thích hợp, thì đường thẳng sẽ trùng với trục . Khi đó, hình phẳng được giới hạn bởi các đồ thị hàm số và hai đường thẳng (như hình dưới). Thể tích của bề dày chiếc bát thuỷ tinh đó bằng bao nhiêu decimét khối? (làm tròn kết quả đến hàng phần mười).

Câu 2. Một người gửi 60 triệu đồng vào ngân hàng với lãi suất tháng. Biết rằng nếu không rút tiền ra khỏi ngân hàng thì cứ sau mỗi tháng, số tiền lãi sẽ được nhập vào vốn ban đầu (hay gọi là lãi kép). Giả sử trong nhiều tháng liên tiếp kể từ khi gửi tiền, người đó không rút tiền ra và lãi suất không thay đổi. Hỏi từ tháng thứ mấy trở đi, người đó có hơn 66 triệu đồng?
chi tiếtCâu 3. Trong một khung lưới ô vuông gồm các hình lập phương, xét các đường thẳng đi qua hai nút lưới (mỗi nút lưới là đỉnh của hình lập phương), người ta đưa ra một cách kiểm tra độ lệch về phương của hai đường thẳng bằng cách gắn hệ tọa độ vào khung lưới ô vuông và tìm vectơ chỉ phương của hai đường thẳng đó. Giả sử, đường thẳng đi qua hai nút lưới và , đường thẳng đi qua hai nút lưới và . Sau khi làm tròn đến hàng đơn vị của độ thì góc giữa hai đường thẳng và bằng ( là số tự nhiên). Giá trị của bằng bao nhiêu?
chi tiếtCâu 4. Một xí nghiệp mỗi ngày sản xuất ra 2000 sản phẩm trong đó có 39 sản phẩm lỗi. Lần lượt lấy ra ngẫu nhiên hai sản phẩm không hoàn lại để kiểm tra. Tính xác suất của biến cố: "Sản phẩm lấy ta lần thứ hai bị lỗi" (làm tròn kết quả đến hàng phần trăm).
chi tiếtCâu 5. Một xe ô tô chở khách du lịch có sức chứa tối đa là 16 hành khách. Trong một khu du lịch, một đoàn khách gồm 22 người đang đi bộ và muốn thuê xe về khách sạn. Lái xe đưa ra thỏa thuận với đoàn khách du lịch như sau: Nếu một chuyến xe chở (người) thì giá tiền cho mỗi người là (nghìn đồng). Với thoả thuận như trên thì lái xe có thể thu được nhiều nhất bao nhiêu triệu đồng từ một chuyến chở khách (làm tròn kết quả đến hàng phần trăm)?
chi tiếtCâu 6. Người ta xây dựng một chân tháp bằng bê tông có dạng khối chóp cụt tứ giác đều. Cạnh đáy dưới dài 6 m , cạnh đáy trên dài 4 m , cạnh bên dài 4 m (như hình dưới). Biết rằng chân tháp được làm bằng bê tông tươi với giá tiền là 1500000 đồng . Số tiền để mua bê tông tươi làm chân tháp là bao nhiêu triệu đồng (làm tròn đến hàng đơn vị của triệu đồng)?

---HẾT---